Blogia

kimberlyPerez

tarea 3

Un barómetro es un instrumento que mide la presión atmosférica. La presión atmosférica es el peso por unidad de superficie ejercida por la atmósfera.

Los primeros barómetros estaban formados por una columna de líquido encerrada en un tubo cuya parte superior está cerrada. El peso de la columna de líquido compensa exactamente el peso de la atmósfera. Los primeros barómetros fueron realizados por el físico y matemático italiano Evangelista Torricelli en el siglo XVII. La presión atmosférica equivale a la altura de una columna de agua de unos 10 m de altura. En los barómetros de mercurio, cuya densidad es 13.6 veces mayor que la del agua, la columna de mercurio sostenida por la presión atmosférica al nivel del mar en un día despejado es de aproximadamente unos 760 mm.

El principio de Arquímedes es un principio físico que afirma que un cuerpo total o parcialmente sumergido en un fluido estático, será empujado con una fuerza vertical ascendente igual al peso del volumen de fluido desplazado por dicho cuerpo. Esta fuerza recibe el nombre de empuje hidrostático o de Arquímedes, y se mide en newtons (en el SI).

El principio de Arquímedes se formula así:

E = mg = rho_text{f} gV ;

donde ρf es la densidad del fluido, V el volumen del cuerpo sumergido y g la aceleración de la gravedad, de este modo, el empuje depende de la densidad del fluido, del volumen del cuerpo y de la gravedad existente en ese lugar. El empuje actúa siempre verticalmente hacia arriba y está aplicado en el centro de gravedad del fluido desalojado por el cuerpo; este punto recibe el nombre de centro de carena.

En física, el principio de Pascal o ley de Pascal, es una ley enunciada por el físico y matemático francés Blaise Pascal (1623-1662) que se resume en la frase: «el incremento de presión aplicado a una superficie de un fluido incompresible (líquido), contenido en un recipiente indeformable, se transmite con el mismo valor a cada una de las partes del mismo».

El principio de Pascal puede comprobarse utilizando una esfera hueca, perforada en diferentes lugares y provista de un émbolo. Al llenar la esfera con agua y ejercer presión sobre ella mediante el émbolo, se observa que el agua sale por todos los agujeros con la misma presión.

También podemos ver aplicaciones del principio de Pascal en las prensas hidráulicas.

fluidos en movimiento:La mecánica de fluidos es la rama de la mecánica de medios continuos (que a su vez es una rama de la física) que estudia el movimiento de los fluidos (gases y líquidos) así como las fuerzas que los provocan. La característica fundamental que define a los fluidos es su incapacidad para resistir esfuerzos cortantes (lo que provoca que carezcan de forma definida). También estudia las interacciones entre el fluido y el contorno que lo limita. La hipótesis fundamental en la que se basa toda la mecánica de fluidos es la hipótesis del medio continuo.

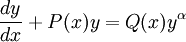
Las ecuaciones diferenciales de Bernoulli son ecuaciones diferenciales ordinarias de primer orden, formuladas por Jakob Bernoulli y resueltas por su hermano Johann, que se caracterizan por tener la forma:

frac{dy}{dx}+P(x)y=Q(x)y^alpha

donde !P(x) y !Q(x) son funciones continuas en un intervalo [a,b] subseteq mathbb{R}

esta es la primera tarea cuando termines de copiar todo eliminas las 3 tareas

tarea 2

La adhesión es la propiedad de la materia por la cual se unen dos superficies de sustancias diferentes o diferentes cuando entran en contacto, y se mantienen juntas por fuerzas intermoleculares.

La adhesión ha jugado un papel importante en muchos aspectos de las técnicas de construcción tradicionales. La adhesión del ladrillo con el mortero (cemento) es un ejemplo claro

tensión superficial de un líquido a la cantidad de energía necesaria para disminuir su superficie por unidad de área.[1] Esta definición implica que el líquido tiene una resistencia para aumentar su superficie. Este efecto permite a algunos insectos, como el zapatero (Gerris lacustris) , desplazarse por la superficie del agua sin hundirse. La tensión superficial (una manifestación de las fuerzas intermoleculares en los líquidos), junto a las fuerzas que se dan entre los líquidos y las superficies sólidas que entran en contacto con ellos, da lugar a la capilaridad.

fluidos en reposo:es aquél cuya viscosidad varía con la temperatura y presión, pero no con la variación dv/dy.

Aunque el concepto de viscosidad se usa habitualmente para caracterizar un material, puede resultar inadecuado para describir el comportamiento mecánico de algunas sustancias, en concreto, los fluidos no newtonianos. Estos fluidos se pueden caracterizar mejor mediante otras propiedades reológicas, propiedades que tienen que ver con la relación entre el esfuerzo y los tensores de tensiones bajo diferentes condiciones de flujo, tales como condiciones de esfuerzo cortante oscilatorio.

la presión es una magnitud física que mide la fuerza por unidad de superficie, y sirve para caracterizar como se aplica una determinada fuerza resultante sobre una superficie.

En el Sistema Internacional de Unidades (SI) la presión se mide en una unidad derivada que se denomina pascal (Pa) que es equivalente a una fuerza total de un newton actuando uniformemente en un metro cuadrado.

 

Unidades de presión y sus factores de conversión

 

Pascal

bar

N/mm²

kp/m²

kp/cm²

atm

Torr

1 Pa (N/m²)=

1

10-5

10-6

0,102

0,102×10-4

0,987×10-5

0,0075

1 bar (daN/cm²) =

100000

1

0,1

1020

1,02

0,987

750

1 N/mm² =

106

10

1

1,02×105

10,2

9,87

7500

1 kp/m² =

9,81

9,81×10-5

9,81×10-6

1

10-4

0,968×10-4

0,0736

1 kp/cm² =

98100

0,981

0,0981

10000

1

0,968

736

1 atm (760 Torr) =

101325

1,013

0,1013

10330

1,033

1

760

1 Torr (mmHg) =

133

0,00133

1,33×10-4

13,6

0,00132

0,00132

1

 

tarea

 

 

 

Un fluido es una sustancia o medio continuo que se deforma continuamente en el tiempo ante la aplicación de una solicitación o ten

En

física, la densidad de una sustancia, simbolizada habitualmente por la letra griega rho,!, es una magnitud referida a la cantidad de masa contenida en un determinado volumen

.Ejemplo: un objeto pequeño y pesado, como una piedra de granito o un trozo de plomo, es más denso que un objeto grande y liviano hecho de corcho o de espuma de poliuretanosión tangenciLa cohesión del terreno es la cualidad por la cual las partículas del terreno se mantienen unidas en virtud de fuerzas internas, que dependen, entre otras cosas del número de puntos de contacto que cada partícula tiene con sus vecinas. En consecuencia, la cohesión es mayor cuanto más finas son las partículas del terreno.al sin importar la magnitud de ésta.

La cohesión del terreno es la cualidad por la cual las partículas del terreno se mantienen unidas en virtud de fuerzas internas, que dependen, entre otras cosas del número de puntos de contacto que cada partícula tiene con sus vecinas. En consecuencia, la cohesión es mayor cuanto más finas son las partículas del terreno.

Cohesión y adhesión [editar]

En el análisis de las causas determinantes de la plasticidad es indispensable establecer la diferencia entre cohesión y adhesión. La adhesión es causada por la atracción de la fase líquida sobre la superficie sólida. La cohesión en un terreno húmedo es provocada por las moléculas de la fase líquida que actúa como puente o membrana entre las partículas vecinas. Tanto la cohesión como la adhesión son influenciadas por el contenido de coloides innorgánico, resultando de esta forma correlacionada con la plasticidad

Cuantifiación de la cohesión [editar]

La fuerza cohesiva del agua entre dos partículas de terreno vecinas puede ser expresada, según Nichols,[1] por la siguiente fórmula empírica:

c = 4pitau frac{Kr}{d} cos{alpha}

Donde:

c,: cohesión, expresada en fuerza por unidad de superficie.K,: constante determinada experimentalmente.r,: radio de la partícula.tau,: tensión superficial del líquido.alpha, = ángulo de contacto entre el líquido y la partícula.d,: distancia entre las partículas

La capilaridad es una propiedad de los líquidos que depende de su tensión superficial (la cual a su vez, depende de la cohesión o fuerza intermolecular del líquido), que le confiere la capacidad de subir o bajar por un tubo capilar.

Cuando un líquido sube por un tubo capilar, es debido a que la fuerza intermolecular (o cohesión intermolecular) entre sus moléculas es menor a la adhesión del líquido con el material del tubo (es decir, es un líquido que moja). El líquido sigue subiendo hasta que la tensión superficial es equilibrada por el peso del líquido que llena el tubo. Éste es el caso del agua, y ésta propiedad es la que regula parcialmente su ascenso dentro de las plantas, sin utilizar energía para vencer la gravedad.

Sin embargo, cuando la cohesión entre las moléculas de un líquido es más potente que la adhesión al capilar (como el caso del mercurio), la tensión superficial hace que el líquido descienda a un nivel inferior, y su superficie es convexa.

La viscosidad es la oposición de un fluido a las deformaciones tangenciales. Un fluido que no tiene viscosidad se llama fluido ideal, en realidad todos los fluidos conocidos presentan algo de viscosidad, siendo el modelo de viscosidad nula una aproximación bastante buena para ciertas aplicaciones.

Imaginemos un bloque sólido (no fluido) sometido a una fuerza tangencial, por ejemplo, una goma de borrar sobre la que se sitúa la palma de la mano que empuja en dirección paralela a la mesa; en este caso, el material sólido opone una resistencia a la fuerza aplicada, pero se deforma (b), tanto más cuanto menor sea su rigidez. Si imaginamos que la goma de borrar está formada por delgadas capas unas sobre otras, el resultado de la deformación es el desplazamiento relativo de unas capas respecto de las adyacentes

evelyn mañana te envio mas tu amigo cristianTodo bien

REVISTA DIGITAL

REVISTA DIGITAL

                                          INDICE

INSECTOS COMESTIBLES………………………………………3

RECETAS CON INSECTOS COMESTIBLES………………..4

BENEFICIOS DEL CONSUMO DE INSECTOS…………...5

CONSUMO DE INSECTOS EN MEXICO……………….….6

AVANCES TECNOLOGICOS………………………………..….7

CASCO PARA PREVENIR PARALISIS…………………..….9

DEFENSA PERSONAL……………………………………….….11

PARTES VITALES DEL SER HUMANO……………………12

ESPECIES DE ANIMALES RAROS EN EL MAR………….13

                                                        

INSECTOS COMESTIBLES

 

 

 

- Las chinches se encuentran en Morelos, estado de México, Hidalgo, Veracruz, Guerrero, Puebla, San Luis Potosí, Jalisco, Oaxaca y Querétaro.

- Los pulgones: Los puede localizar en los estados de Puebla, Morelos, Guerrero, Hidalgo.

- Los escarabajos se hallan principalmente en Hidalgo, Tabasco, Guerrero, Veracruz, estado de México, Oaxaca, Puebla, Chiapas, Nayarit y DF.

- Por su lado las mariposas se localizan en Oaxaca, Puebla, Hidalgo y DF.

- Las moscas: En el Estado de México y Nayarit.

- Hormigas y abejas: Se encuentran en Oaxaca (chicatanas, hormigas saladas), Puebla, Estado de México, DF, Chiapas e Hidalgo.

- Avispas: Guerrero, Michoacán, Veracruz, y Yucatán.

- Las termitas: Michoacán.

- Libélulas: Sonora y Estado de México.

- Los chapulines se localizan en Oaxaca, Veracruz, Tabasco, Campeche, Yucatán, Morelos, Puebla, Guerrero, Michoacán, DF.

- Gusanos de maguey rojo: Principalmente se localizan en Oaxaca, Estado de México, Hidalgo y DF.

- Los chinicuiles y jumiles: Guerrero, Oaxaca, Morelos, Tlaxcala, Hidalgo.

- Los escamoles: Hidalgo, México, Distrito Federal, Tlaxcala, Nuevo León y Michoacán.

Recetas con insectos comestibles

 

La sola idea de comer insectos que todavía están vivos o la sensación en la lengua de sus patitas pueden producir asco, sin embargo y más allá de su presentación, déjese conquistar por su sabor que para los conocedores se asemeja a la carne de jaiba, res, cerdo o pollo; pero sobre todo infórmese y aproveche el gran valor nutricional que estos insectos aportan.

Ya sea que los prepare con sal y limón en el caso de los jumiles, doradas y acompañadas con un guacamole para las chinches, los escámoles (huevos de hormigas) servidos en salsa al ajo, o bien en tacos como los gusanos de maguey aunque también puede prepararse fritos en aceite o manteca y molidos con jitomate y chile, incorpore estos y otros insectos más a su dieta.

Bill Yosses, cocinero de un prestigioso restaurante de Nueva York recomienda que para ir familiarizándose con esta nutritiva y deliciosa forme de comer, se puede comenzar con unos gusanos salteados, crujientes aperitivos que dejan la impresión de un fruto seco, luego pasar a los escorpiones y grillos, pero sobre todo aconseja no ocultar lo que hay en el plato.

 

Chapulines fritos al estilo mexicano

Ingredientes

  • Chapulines.
  • Agua.
  • Cal.
  • Aceite de oliva.
  • Si
  • Guindilla (pimiento rojo o verde).

Procedimientos

- Los saltamontes se purgan y se lavan, posteriormente se sumergen en agua con cal durante cuatro horas.

- A continuación se dejan en agua limpia durante otra hora y se enjuagan bien.

- Ya escurridos y secos, los saltamontes se fríen enteros en aceite con una guindilla hasta que estén crujientes.

Cucarachas tostadas

En algunas zonas rurales de Tabasco se come una especie local de cucarachas que los niños recolectan entre la hojarasca en los manglares.

Sacan las hojas de los costales para cernirlas sobre una malla ancha, allí se cuelan las cucarachas que de inmediato son arrojadas al comal caliente para asarlas y servirse en tacos rociadas con salsa.

 

Conguitos de grillos

Ingredientes

  • Grillos.
  • Una tableta de chocolate negro (para derretir).
  • Mantequilla.
  • Azúcar al gusto.

Preparación

- Se purgan y lavan los grillos.

- Se hornean a 180[grados] C el tiempo necesario para que estén bien secos y crujientes sin que se quemen.

- Se sacan del horno, se dejan enfriar y se les arrancan las patas y las cabezas (esto es opcional, aunque muchas veces las patas se caen por si solas).

- El chocolate se pone a calentar al baño maría y cuando esté derretido se añade una cucharada de mantequilla y azúcar, se mezcla bien.

- Los insectos se van sumergiendo en el líquido caliente (por ejemplo, con un tenedor) y se dejan enfriar sobre papel encerado.

- Se refrigeran por una par de horas.

 

 

Beneficios del consumo de insectos

 

Más que por curiosidad, el consumo de insectos debe hacerse a sabiendas de las grandes aportaciones que ofrecen a la salud del ser humano y para disfrutar de su rico sabor.

  • Más de una tercera parte de los insectos que se conocen son comestibles.
  • Se encuentran muy fácilmente y en grandes cantidades, los gusanos por ejemplo presentan como ventaja su alto valor reproductivo, lo que les permiten formar enormes poblaciones en corto tiempo, tanto en el medio terrestre como acuático.
  • Son una alternativa para combatir el hambre y la desnutrición.
  • No por ser animalitos de tierra son antihigiénicos, un ejemplo son la mayoría de los gusanos comestibles, éstos se alimentan de plantas como hojas, frutos, néctar de las flores o savia, entre otras, por lo que se trata de un producto higiénico.
  • En muchas partes de nuestro país se ha continuado con el consumo de estos insectos, es así que en México se consume una tercera parte de los insectos del mundo.
  • El organismo de estos animales comestibles representa entre el 60 y 70 por ciento en proteínas de buena calidad, así que pueden ser igual o más nutritivos que la carne de res, pollo o cerdo. Tan sólo 100 gramos de carne de res contienen entre 54 y 57 por ciento de proteínas, mientras que 100 gramos de chapulines contienen entre 62 A 75 por ciento.
  • La grasa de estos animales son de tipo poli saturado, por lo tanto benéficas para el organismo humano.
  • Los insectos contienen sales minerales que ayudan a regular la presión sanguínea; algunos son ricos en calcio y magnesio.
  • Se ha encontrado que contienen cantidades importantes de vitaminas del complejo B".
  • Se digieren fácilmente.
  • Evitan la obesidad.
  • Combaten problemas cardiovasculares por su bajo nivel de colesterol.
  • Son muy eficaces para curar enfermedades digestivas, respiratorias, óseas y nerviosas
  • El veneno de abeja se usa para combatir la artritis y el reumatismo
  • El grillo prieto de Veracruz se utiliza para combatir la deficiencia de vitaminas
  • Las hormigas mieleras alivian infecciones en la boca y controlan la fiebre.
  • Los jumiles son un excelente anestésico y analgésico.
  • Los insectos tiene otras aplicaciones además de la alimenticia y curativa, por ejemplo en nuestro país la cochinilla se usó para extraer tintura de color que durante la época colonial se usaba para teñir telas.
  • Pueden ser una buena fuente de ingresos, ya que su recolección manual necesita poca inversión.

 

                                                                

Consumo de insectos en México

 

 

El consumo de insectos mejor conocido como entomófaga se practica en nuestro territorio mexicano desde la época prehispánica, prueba de ello se plasma en el Códice Florentino escrito por fray Bernardino de Sahagún y sus informantes, donde se describe el consumo de 96 especies de insectos comestibles.

Debido a sus grandes propiedades nutritivas, su capacidad de supervivencia ante cualquier colapso ambiental e incluso nuclear, y por otro lado al alto índice de enfermedades que se están presentando en la población infantil y juvenil, investigadores en el sector alimentario sugieren reincorporar el consumo de estos insectos; por lo que se debe orientar a la población sobre las características de estos insectos comestibles, las ventajas de su consumo para salud del ser humano y la forma en que éstos pueden prepararse.

Aunque han tenido que pasar miles de años para que la entomófaga se extienda a los países desarrollados, éstos ya comienzan a interesarse por la alimentación con insectos y cada vez son más los restaurantes y tiendas exóticas que ofrecen platos y productos con chapulines, chinches, cucarachas, gusanos, etc.

En nuestro país a pesar de la falta de mecanismos de recolección y comercialización; a base de grandes esfuerzos pequeñas empresas familiares los envasan y exportan principalmente a Europa y Estados Unidos.

                                  

   AVANCES TECNOLOGICOS

Los robots más sofisticados se exponen en Japón

 

 

Exposición de la industrial robotic a en Japón en Tokio

En una época en la que la polivalencia es un más, Motoman podría ser el empleado ideal. Cuando no está realizando soldaduras por puntos en una línea de producción de automóviles, está lanzando crepes –sin derramar ni una gota de masa– e incluso se le podría pedir que realizara análisis de sangre rutinarios. Motoman es uno de los cientos de robots de tecnología punta que se exhibieron la semana pasada en la feria bienal del sector celebrada en Tokio.

La industria de los robots en Japón fue valorada en 522.000 millones de yenes el año pasado, una cifra que los fabricantes esperan alcance los 900.000 millones de yenes en el 2016.

Y a juzgar por las máquinas exhibidas en Tokio, la precaria situación de la economía y el envejecimiento de la población en Japón han conducido a un nuevo énfasis en sus usos prácticos y comerciales, como empaquetar, levantar pesos, soldar, realizar trabajos de albañilería y rastrear tras desgracias originadas por desastres naturales.

A pesar de los persistentes temores a que algún día esos robots se vuelvan en contra de sus creadores –o al menos resulten incompatibles Como colegas– hay muchas Esperanzas de que plataformas de investigación como Hiro, un humanoide de Kawada Industrias, demuestren que podemos coexistir.



El envejecimiento de la sociedad japonesa y la baja tasa de nacimientos del país han originado un mercado potencialmente considerable de robots de compañía y ayuda.
La silla de ruedas robótica de la Universidad de Tokio utiliza sensores que permiten a los usuarios controlar sus movimientos cambiando de lado su peso corporal, mientras el robot móvil de “asistencia a humanos” de NSK –un perro guía de alta tecnología sobre ruedas– guía a su propietario para salvar obstáculos.

Uno de los elementos más esperados de la exposición fue el nuevo traje de fuerza mejorado de la Universidad de Ciencias de Tokio debido a que se empezará a producir para uso comercial el próximo año. Este traje permite a la persona que lo viste realizar trabajos de levantamientos agotadores y tiene unos usos muy evidentes entre ancianos y enfermos.

Otros robots de nueva generación demostraron unos niveles de destreza y delicadeza inimaginables hace apenas unos años; suficientes, por ejemplo, para construir modelos de Lego, sostener rodajas de bizcocho sin aplastarlas o transmitir imágenes de vídeo en vivo mientras se deslizan entre los escombros causados por un terremoto (ver vídeo al final del post).

Pero no todas las últimas creaciones son tan serias. El entretenimiento paralelo lo puso Topio, un humanoide plateado que juega al tenis de mesa, mientras el diminuto Manoi Go –que cuesta 1.000 libras– reafirmó su reputación como la próxima ciberestrella tras mostrar sus habilidades como bailarín de breakdancing.

 

 

Casco para prevenir parálisis

 

 

Todos los cascos, desde los del fútbol americano, esquí o de la conducción de motocicletas, están diseñados para proteger la cabeza del impacto. Cada generación de diseño es mejor que la anterior en disipar la fuerza y proteger al usuario de conmociones cerebrales y otras contusiones en el cráneo. Sin embargo, los cascos actuales apenas pueden hacer gran cosa para prevenir las lesiones de médula espinal que producen la parálisis.

Ahora, investigadores de la Universidad de British Columbia, en Vancouver, están trabajando en un diseño que podría proteger la columna vertebral durante una colisión frontal. Cuando la cabeza de una persona golpea a un objeto plano recto, el impacto normalmente hace que el cuello se arrugue, al absorber el grueso de la fuerza. Si una vértebra rota disecciona o daña la delicada médula espinal, el resultado puede ser una parálisis permanente. Si la cabeza golpea un objeto en ángulo, puede rebotar sin mucho daño, de ahí que a los jugadores de fútbol se les enseñe a hacer frente a sus oponentes con la cabeza erguida.

"Me interesé por saber si existía un modo de convertir el impacto contra un objeto plano en un impacto contra un objeto en ángulo", señaló Peter Criptón, ingeniero mecánico y especialista en biomecánica de la UBC que dirigió el proyecto. Él y sus colegas desarrollaron el casco "Pro-Neck-Tor", que consiste en una coraza externa que se parece a la mayoría de los cascos existentes en el mercado hoy en día, pero con una estructura interna rotativa que abraza la cabeza y un mecanismo que conecta ambas estructuras.

"El objetivo principal de los cascos, ya sea en los deportes o en el transporte, es siempre evitar lesiones cerebrales. Nosotros intentamos hacer algo muy diferente", señala Criptón. "Estamos trabajando en un casco que tenga la misma capacidad para evitar las conmociones cerebrales, pero que además sirva para prevenir las lesiones en el cuello". Durante el uso normal del día a día, la estructura interna permanece inmóvil. Pero cuando el casco golpea algo con la fuerza suficiente, el mecanismo se pone en marcha y la estructura interna gira, orientando la cabeza como si estuviera golpeando una superficie inclinada en lugar de una plana.

"Poner simplemente más relleno en la cabeza no va a resolver los problemas relacionados con las lesiones de cuello e incluso podría empeorarlos", señala el experto en biomecánica de lesiones John Melvin, profesor adjunto de la Universidad Estatal de Wayne, en Michigan, que ha estado estudiando el problema desde 1968. "Es un problema difícil, pero están siguiendo un enfoque único y creo que tiene potencial. Habrá que evaluarlo de muchas formas para asegurarse de que es seguro; no queremos acabar provocando una lesión cerebral grave, mientras intentamos evitar una lesión de cuello grave

 

                                                                       DEFENSA PERSONAL

 

¿Qué es defensa personal?

Es una disciplina que agrupa un conjunto de principales utilizadas para detener una acción ofensiva llevada a cabo contra la persona.

Las técnicas de defensa fueron en principio tomadas en las artes marciales tradicionales y perfeccionadas y depuradas con el objeto de hacer máxima su efectividad y de adaptarlas a las hipótesis de conflicto en las condiciones actuales en la vida. 

Pero es necesario saber donde herir para dejar noqueado al atacante por eso hay que saber del cuerpo humano ya sea (músculos, órganos o articulaciones).

     AMBITO MILITAR

En el ámbito militar se utilizan técnicas con mayor poder ofensivo y letal valiéndose incluso de las armas de dotación

 

  Ámbito civil 

En el ámbito civil se intenta reducir al adversario de manera segura y sin provocar daños desmedidos dada la responsabilidad civil de la acción defensiva cuando se exceden los límites de la legítima defensa.La defensa personal se basa en los fundamentos de algunos deportes o artes marciales como el judo, el aikido o el kárate. La característica principal de la defensa personal es la esquivación de la fuerza, ya que, generalmente, los oponentes pueden ser individuos de dimensiones más amplias o con fuerzas musculares mayores a la nuestra. Es por ello, que técnicas básicas como los golpes únicos (aquellos que se realizan contra el oponente con una zona especifica de nuestro cuerpo) como el uso de la palma de la mano, los nudillos y los dedos en zonas blandas o rodillazos, pasando además por técnicas mas profesionales como diferentes tipos de patadas, y ya, aun mas avanzadas como desequilibrios o inmovilizaciones (las cuales se suelen usar en defensa personal policial o en modalidades deportivas como el kárate) son las aplicaciones en las que comprende la defensa personal.

 

                                             PARTES VITALES DEL SER HUMANO

EXISTEN MUCHAS DEBILIDADES EN NUESTRO ORGANISMO GRACIAS A DIOS QUE NOS DIO INTELIGENCIA PARA CONTINUAR DE LO CONTRARIO SERIAMOS DE LA CADENA MAS BAJA

AHORA LES DIRE NUESTROS PUNTOS PRINCIPALES

NARIZ: SI GOLPEAN AL LA NARIZ SUFRIRAN UN GRAN GOLPE PORQUE CONECTAN A LOS OJOS Y LOS PUEDEN DEJAR CON VISION BORROSA

QUIJADA: SI UNA PERSONA SE LE PEGA AHI CON MUCHA FUERZA OFICIALMENTE LO DEJAS INCONCIENTE

ESTOMAGO: UN GOLPE CON MUCHA FUERZA PUEDES SACARLE EL AIRE CON MUCHA FUERZA

SOLO DEJARE ESTOS TRES (LOS DEMAS SON PARA MATAR)

ASI QUE YA SABEN DONDE GOLPEAR PORQUE SI NO PUEDEN HERIR GRAVEMENTE E INCLUSO LA MUERTE

                   ESPECIES DE ANIMALES RAROS EN EL MAR

 

 

 

El Consejo Antártico Británico (BAS) ha difundido imágenes inéditas de la fauna marina en la plataforma continental de la Antártida, con el objetivo de llamar la atención sobre la necesidad de preservarla frente al cambio climático

 

Las imágenes incluyen peces de hielo, pulpos, cerdos marinos, araujas marinas gigantes, rayas desconocidas y estrellas de mar, descubiertas en el marco de un proyecto internacional sobre la biodiversidad y la necesidad de combatir el calentamiento global.

Científicos europeos, estadounidenses, australianos y sudafricanos se embarcaron en el James Clark Ross, barco de investigación del BAS, para recopilar está  colección especial de animales marinos del mar de Bellingshausen

       El Bellingshausen está al oeste de la península Antártica, entre las islas de Alejandro I y Thurston, y los investigadores consideran que es uno de los mares del mundo que más rápidamente se calienta.

El director de la expedición, David Barnes, manifestó en un comunicado que "poca gente se da cuenta de lo rica que es la biodiversidad del océano del Sur. Incluso un barco de arrastre puede revelar una fascinante variedad de criaturas extraías y maravillosas comparable a la que se encuentra en un arrecife de coral".

"Estos animales son potencialmente muy buenos indicadores de los cambios medioambientales, dado que muchos ocurren cerca de la superficie, que está cambiando con rapidez, pero también en aguas más profundas, que se calentarán mucho más rápidamente", dijo.

Este estudio, señaló Barnes, "nos permite entender mejor como se adaptará  el medioambiente a los cambios" y constatar que "algunas especies son increíblemente sensibles a los cambios de temperatura".

La bióloga Sopié Fielding, especialista en kril -los crustáceos planctónicos semejantes al camarón que constituyen el alimento principal de ballenas, focas y pingüinos-, también constató variaciones considerables en superficies relativamente pequeñas

"Los cambios en la superficie de la Tierra afectan directamente al océano circundante y a su fauna marina. Por ejemplo, que los glaciares se derritan, que las capas de hielo se derrumben y que la capa de hielo del invierno se reduzca tiene un impacto en la vida marina. Queremos entender ese impacto y cuáles pueden ser las implicaciones para la cadena alimenticia", señaló Fielding.

 

 

 

 

 

 

Robots para el uso doméstico

Según los resultados del último sondeo sobre el sector de robots en el mundo realizado por las Naciones Unidos, se prevé que el uso doméstico de robots se multiplicará por siete entre este año y el año 2007. Según el informe basado en los resultados del sondeo y publicado por la Comisión Económica para Europa de las Naciones Unidas y la Federación Internacional de Robótica, este boom en el sector de robots para el hogar coincide con otro en la demanda por robots en el sector industrial.

Cada vez más consumidores comprarán los robots de última generación para cortar césped, aspirar suelos y realizar otras tareas en el hogar. Los últimos avances tecnológicos en el campo de robótica permiten que estos robots domésticos sean cada vez más eficaces y menos aparatosos y ruidosos.

Según las últimas cifras, a finales del año 2003 unos 607.000 robots domésticos se utilizaban en hogares en una variedad de países, y dos tercios de éstos fueron adquiridos durante ese mismo año. La función de la mayoría de estos robots (570.000) era cortar el césped mientras que 37.000 eran robots-aspiradoras.

El informe prevé que a finales de 2007, 4,1 millones de robots domésticos estarán en uso y que empezarán a ganar en popularidad el tipo de robot que limpia ventanas y piscinas.

Según el consejero delegado de iRobot Corp, hasta ahora los robots no habían realizado su potencial y por lo tanto existe cierto escepticismo en el mercado. Pero gracias a los últimos avances científicos en el sector de robótica, los robots de última generación son menos costosos que los anteriores (en 2003 un robot costaba una cuarta parte de lo que costaba en 1990), y son capaces de hacer más tareas domésticas.

La palabra "robot" se utiliza para describir cualquier tipo de máquina que realiza de forma automática tareas humanas, muchas veces sustituyendo totalmente los humanos que antes hacían el trabajo. En la mayoría de casos la propulsión de los propios robots causa sus movimientos, y no necesitan un operador humano una vez que han sido programados.

Según el estudio, al final de esta década, los robots "no solo limpiarán nuestros suelos, cortarán nuestros césped, y vigilarán nuestras casas, sino que también ayudarán a personas mayores y discapacitadas, realizarán cirugía, inspeccionarán sitios de peligro, y lucharán contra incendios y explosiones". 

EMOS EN LA ESCUELA

HOLA COMPAÑEROS DEL ENTRO ESCOLAR GENERAL MIGUEL NEGRETE NOVOA DE TEPEACA ,EL TEMA QUE TRATARE CON USTEDES POR ESTA OCACION ES EL DE LOS EMOS,ANTES QUE NADA LES DIRE MI CRITERIO PARAR DETERMINAR A UN EMO LES GUSTA EL SUFRIMIENTO, LA OBSCURIDAD,LA SOLEDAD PERO SOBRETODO EL LLANTOLlora.

CREN AQUE HAY EMOS EN LA ESCUELA?PUES YO E DETECTADO A DOS CHICAS DE LA ESCUELA QUE TIENEN ALGUNAS DE LAS CARACTERISTICASA PARAR SER EMOS O BUENO QUE LO SEAN EN REALIDAD Y CREO QUE USTEDES YA SABEN DE QUIENES LES HABLO...

BUENO CHICOS Y (AS) YO CREO QUE ELLAS DEFINITIVAMENTE SON EMOS Y QUE CADAQUIEN ES LIBRE DE ELGIR LO QUE QUIERE SER EN ESTA VIDA. LES MANDO MUCHOS BESOS A TODOS LUEGO LES ESCRIBO......Beso